| src | コピー元のレイヤオブジェクトを指定します。 |
| sleft | コピーする矩形の左端位置を ( コピー元レイヤの画像位置における ) ピクセル単位で指定します。 |
| stop | コピーする矩形の上端位置を ( コピー元レイヤの画像位置における ) ピクセル単位で指定します。 |
| swidth | コピーする矩形の横幅を ( コピー元レイヤの画像位置における ) ピクセル単位で指定します。 |
| sheight | コピーする矩形の縦幅を ( コピー元レイヤの画像位置における ) ピクセル単位で指定します。 |
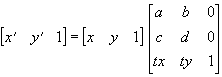
| affine | 続く6つの引数 (A ~ F パラメータ)をどのように扱うかを指定します。 真を指定すると、6つのパラメータはそれぞれ以下のように解釈されます。 A : 2Dアフィン変換行列の a B : 2Dアフィン変換行列の b C : 2Dアフィン変換行列の c D : 2Dアフィン変換行列の d E : 2Dアフィン変換行列の tx F : 2Dアフィン変換行列の ty アフィン変換により、コピー元の画像位置 (x, y) ( ただし、コピー元矩形の左上隅を (0, 0) とする ) は以下の式により、コピー先の画像位置 (x', y')に変換されます。 x' = a*x + c*y + tx y' = b*x + d*y + ty 偽を指定すると、6つのパラメータはそれぞれ以下のように解釈されます。これらのパラメータは実数での指定も受け付けます。 A : コピー元矩形の左上隅の点の、コピー先での画像位置における X 座標位置(x0) B : コピー元矩形の左上隅の点の、コピー先での画像位置における Y 座標位置(y0) C : コピー元矩形の右上隅の点の、コピー先での画像位置における X 座標位置(x1) D : コピー元矩形の右上隅の点の、コピー先での画像位置における Y 座標位置(y1) E : コピー元矩形の左下隅の点の、コピー先での画像位置における X 座標位置(x2) F : コピー元矩形の左下隅の点の、コピー先での画像位置における Y 座標位置(y2) 偽を指定した場合、コピー元の右下隅に対応する、コピー先位置(x3, y3)は自動的に以下の式によって計算されます。 x3 = x1 - x0 + x2 y3 = y1 - y0 + y2 |
| A | A パラメータです。affine 引数によって解釈が変わります。 |
| B | B パラメータです。affine 引数によって解釈が変わります。 |
| C | C パラメータです。affine 引数によって解釈が変わります。 |
| D | D パラメータです。affine 引数によって解釈が変わります。 |
| E | E パラメータです。affine 引数によって解釈が変わります。 |
| F | F パラメータです。affine 引数によって解釈が変わります。 |
| type | アフィン変換のタイプを指定します。 stNearest : 最近傍点法が用いられます stFastLinear : 低精度の線形補間が用いられます(一部実装) stLinear : 線形補間が用いられます(未実装) stCubic : 3次元補間が用いられます(未実装) stFastLinear や stLinear, stCubic に対しては、stRefNoClip をビット論理和で追加指定 することができ、この場合は、コピーするビットマップの領域外を参照して色を合成することを 許可します。これを指定しない場合は、転送元ビットマップの周囲に余裕があったとしても、 転送元ビットマップの範囲外を参照することはありません(範囲外の色はもっとも近い位置にある 範囲内のピクセルの色と見なされます)。 |
| clear | 転送先レイヤの、アフィン変換された画像の周囲をLayer.neutralColor プロパティで示された色・透明度でクリアするかどうかを指定します。真を指定するとクリアされ、この引数を省略するか偽を渡すとクリアされません。 クリアされる領域は Layer.setClip メソッドで制限することもできます。 このクリアの機能を使うと、いったん転送先レイヤをクリアしてからアフィン変換で画像を上書き転送する際の、上書きされる領域(クリアされた場所にアフィン変換で上書きされる部分)のクリアの無駄を省くことができます。 |
